Young Researchers Awards
Once a year, the NCCR SPIN Annual Meeting takes place. During this event, Young Researchers are also awarded with diverse prizes. For the first time in 2022, the NCCR SPIN recognizes outstanding papers written by Young Researchers as a first author with an award. The image contest aims to highlight the role of images in scientific research, to give a face to the researchers conducting it, and to encourage researchers to document the environment in which they work. A flash-intro teaser announces the poster session at the Annual Meeting. A prize is awarded for the best teasers, which better engaged the audience and collected more votes from the meeting's participants. Discover in this section the latest Young Researchers’ contributions praised in the past years.
Awards 2025
Excellent Paper Award
-

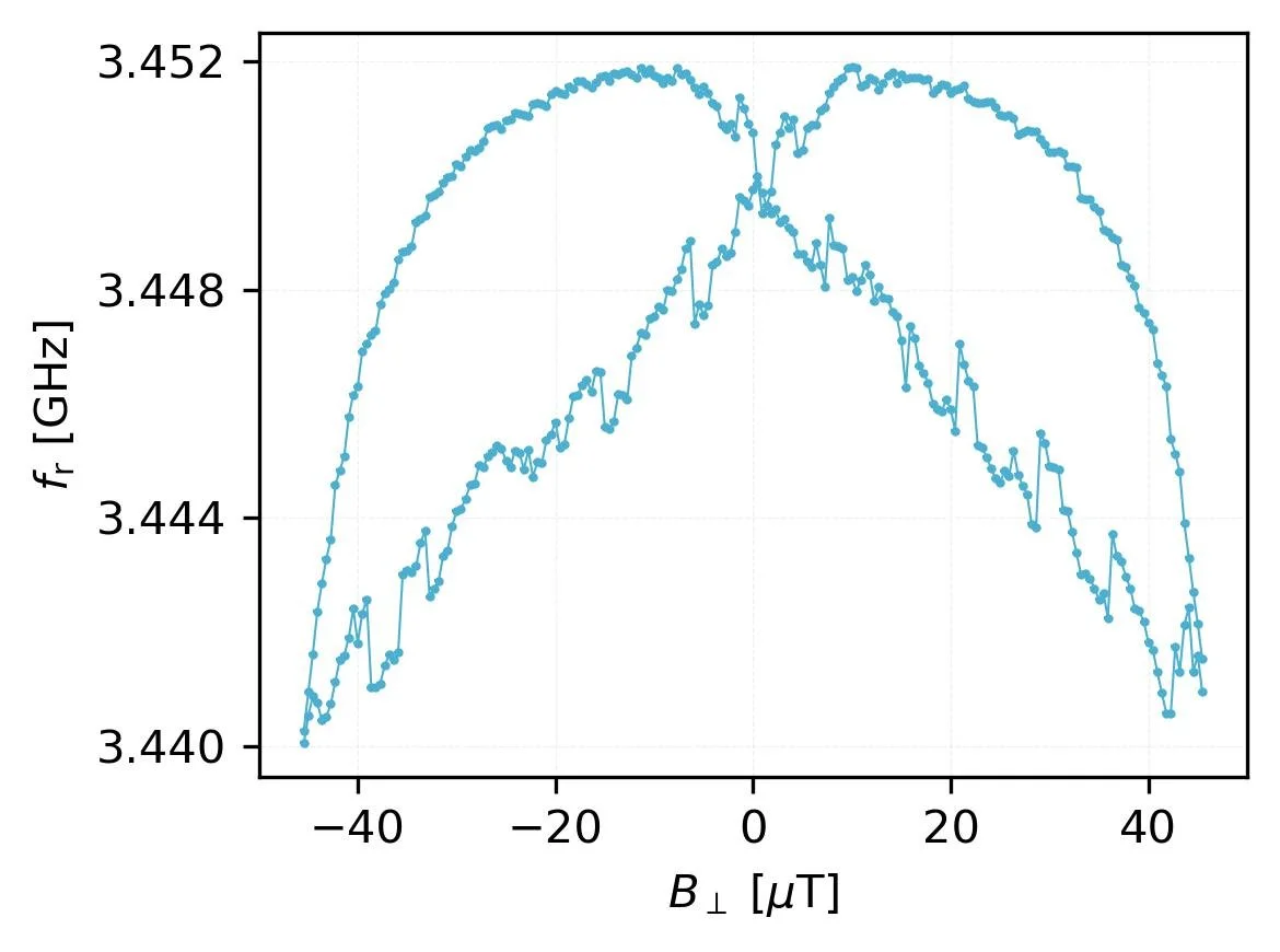
Impact of interface traps on charge noise and low-density transport properties in Ge/SiGe heterostructures
Leonardo Massai, Bence Hetényi, Matthias Mergenthaler, Felix J. Schupp, Lisa Sommer, Stephan Paredes, Stephen W. Bedell, Patrick Harvey-Collard, Gian Salis, Andreas Fuhrer & Nico W. Hendrickx
Published in Communications Materials
https://www.nature.com/articles/s43246-024-00563-8 -

Strong hole-photon coupling in planar Ge for probing charge degree and strongly correlated states
Franco De Palma, Fabian Oppliger, Wonjin Jang, Stefano Bosco, Marián Janík, Stefano Calcaterra, Georgios Katsaros, Giovanni Isella, Daniel Loss & Pasquale Scarlino
Published in Nature Communications
https://www.nature.com/articles/s41467-024-54520-7
Art and Science Contest Awards
-

People, Places of Science and Scientific Art, Public Prize: Artemii Efimov (Unibas)
My God, Help Me Survive this Cryogenic Bond!
The photo captures James Mingchi Xu, a student at the University of Basel, during a temperature check on the fridge after a warm-up. What might appear as a simple technical moment subtly reminds us of the complex, often emotional bonds formed between scientists and their experimental setups. In the lab, equipment can be both adversary and ally — a source of endless frustration, yet sometimes your last and only hope.
-

People, Places of Science and Scientific Art, Jury Prize: Elena Acinapura (EPFL)
Bonding tension
We all know that fabricating quantum dots can be difficult and take a long time. When we finally have a finished device to cooldown, the tension while wire-bonding it is always high!
-
People, Places of Science and Scientific Art, Special Jury Mention: Lisa Sommer (IBM Research Zurich)
DOTKAST: Rustic Box. Blocked by Pauli.
Assembly Time: 100 years (Z. Physik 31, 765–783 (1925))
Included:
• 1 beautiful quantum dot
• 2 holes (spin-up and spin-down personalities included)Warning: Not compatible with parallel spins.
The box has a mechanism, where 50% of the times one side where triplet is written lights up, while the other 50% the other side with singlet written enlightens, when the pin is pushed to the readout point (4). It explains the Pauli spin blockade readout.
-

Scientific: object of study, Public Prize: Jibin N Sunil (Unibas)
Quantum Confinement of a Rainbow
During the fabrication of stamps for 2D device stacking, a polycarbonate film unintentionally dried on a cleanroom cloth. Under the optical microscope, this film reveals a striking pattern of rainbow colors inside the polygonal lattice, — inspiring the title “Quantum Confinement of a Rainbow.
-

Scientific: object of study, Jury Prize: Luigi Ruggiero (Unibas)
Angel Loop
That’s what happens when you pray too hard for your data to be good! Hysteresis loop of the resonance frequency of a superconducting coplanar waveguide in the presence of an out-of-plane magnetic field.
Awards 2024
Excellent Paper Award
-

Stefano Bosco, Simon Geyer, Leon S. Camenzind, Rafael S. Eggli (Unibas)
Phase-Driving Hole Spin Qubits, Stefano Bosco, Simon Geyer, Leon C. Camenzind, Rafael S. Eggli, Andreas Fuhrer, Richard J. Warburton, Dominik M. Zumbühl, J. Carlos Egues, Andreas V. Kuhlmann, Daniel Loss, Phys. Rev. Lett. 131, 197001 (Nov. 2023).
The spin-orbit interaction in spin qubits enables spin-flip transitions, resulting in Rabi oscillations when an external microwave field is resonant with the qubit frequency. Here, we introduce an alternative driving mechanism of hole spin qubits, where a far-detuned oscillating field couples to the qubit phase. Phase driving at radio frequencies, orders of magnitude slower than the microwave qubit frequency, induces highly non-trivial spin dynamics, violating the Rabi resonance condition. By using a qubit integrated in a silicon fin field-effect transistor (Si FinFET), we demonstrate a controllable suppression of resonant Rabi oscillations, and their revivals at tunable sidebands. These sidebands enable alternative qubit control schemes using global fields and local far-detuned pulses, facilitating the design of dense large-scale qubit architectures with local qubit addressability. Phase driving also decouples Rabi oscillations from noise, an effect due to a gapped Floquet spectrum and can enable Floquet engineering high-fidelity gates in future quantum processors.
Art and Science Contest Awards
-

Scientific: object of study, Jury and Public Prizes: Arianna Nigro and Nicolas Forrer (Unibas)
Fantastic Wires and where to find them
If you’re lucky on the quest to find nanowires you might spot the rare species of the flamingowire.
Chemical Elemental Map of an axial Germanium-Silicon Nanowire. The three colors correspond to Germanium, Silicon and Gold. The colors black, light pink and pink respectively correspond to gold, silicon and germanium.
-

People, Places of Science and Scientific Art, Jury and Public Prizes: Inga Seidler and Lisa Sommer (IBM Research Zürich)
'I'm alive!' - Schrödinger’s Cat
Cat made from cable as a sculpture is coming out of the breakout box.
Awards 2023
Excellent Paper Award
-

Bence Hetényi (IBM Research Zurich)
Anomalous Zero-Field Splitting for Hole Spin Qubits in Si and Ge Quantum Dots, Bence Hetényi, Stefano Bosco, and Daniel Loss, Phys. Rev. Lett. 129, 116805 (Sept. 2022).
The splitting of triplet states in a quantum dot at zero magnetic field is a novel effect that has been observed experimentally only recently (2020). In this work we presented a theoretical model explaining this zero-field splitting by the interplay of coulomb interaction and cubic spin-orbit coupling. The new model triggered great interest in the spin qubit community and inspired fruitful discussions after talks and poster sessions where it was presented. -

Simon Geyer (University of Basel)
A compact and versatile cryogenic probe station for quantum device testing, Mathieu de Kruijf, Simon Geyer, Toni Berger, Matthias Mergenthaler, Floris Braakman, Richard J. Warburton, Andreas V. Kuhlmann, Rev Sci Instrum 94, 054707 (2023)
Fast feedback from cryogenic electrical characterization measurements is key for the development of scalable quantum computing technology. At room temperature, high-throughput device testing is accomplished with a probe-based solution, where electrical probes are repeatedly positioned onto devices for acquiring statistical data. In this work we present a probe station that can be operated from room temperature down to below 2 K. This prober is compact enough to fit inside a standard cryogenic magnet system, and is compatible with both direct-current and radio-frequency signals, therefore making it a versatile tool perfectly suited for research and prototyping. Such a tool can massively accelerate the design-fabrication-measurement cycle and provide important feedback for process optimization towards building scalable quantum circuits.
Image Contest Awards
-

Scientific Public Prize: Andreas Kuhlmann (Unibas)
Cryo-probing of Quantum Devices
-

Scientific Jury Prize: Pierre Chevalier Kwon (Unibas)
The Failure Beauty
This sample’s contamination wasted a lot of my time. To that day, I still don’t know what it was. I do know, however, that it was beautiful. The picture was taken using the dark mode of a microscope.
-

People & Places of Science Jury and Public Prizes: Miguel J. Carballido (Unibas)
Enigmatic source of white noise
University of Basel - Cryohall
Poster Flash Award
-
Lisa Sommer (IBM Research Zurich)

-
Felix Schupp (IBM Research Zurich)

Awards 2022
Excellent Paper Award
-

Stefano Bosco (Unversity of Basel)
Hole Spin Qubits in Si FinFETs With Fully Tunable Spin-Orbit Coupling and Sweet Spots for Charge Noise, S. Bosco, B. Hetényi, and D. Loss. PRX Quantum 2.1, 010348 (Mar. 2021), arXiv:2011.09417
This paper is a very substantial and important piece of work identifying sweet spots for low noise and optimal control, which has already attracted a lot of attention in the community, as also evidenced by the rapidly increasing citations. This work will significantly impact the further development of spin qubits based on holes in Si and Ge, the central theme of the NCCR Spin.
-

Simon Geyer (University of Basel) with Leon C. Camenzind, former SPIN member and first co-author
A hole spin qubit in a fin field-effect transistor above 4 Kelvin, L. C. Camenzind, S. Geyer, A. Fuhrer, R. J. Warburton, D. M. Zumbühl, and A. V. Kuhlmann. Nature Electronics 5, 178–183 (Jan. 2022), arXiv:2103.07369
This is break-through work, published in Nature Electronics in March 2022: the finFET hole spins work up above 4.2 Kelvin, where very large cooling power becomes available, thus making integration of the qubit control electronics possible. Further, the finFET hole spins are already very coherent and easy to manipulate, achieving ~99% fidelity. Finally, the finFET approach gives extremely high-quality devices ("industry quality"), yet are fabricated in a flexible and fast-turn-around process, which is very helpful for further development.
-

Santhanu Ramanandan (EPFL) and Petar Tomic (ETHZ)
Coherent Hole Transport in Selective Area Grown Ge Nanowire Networks, S. Ramanandan, P. Tomi´c, N. P. Morgan, A. Giunto, A. Rudra, K. Ensslin, T. Ihn, and A. Fontcuberta i Morral. Nano Letters 22, 4269–4275 (May 2022)
This paper demonstrates for the first-time coherent hole transport in Ge nanowires and networks obtained by the selective area method, which is intrinsically scalable. The shape of the nanowires with triangular caps would enable the manipulation of SOI to cancel hyperfine interaction. This work was created thanks to the existence of the NCCR and has been successful thanks to the tight collaboration between the two PhD students, who have interacted on a nearly daily basis, exchanging many devices and grown wafers as expertise. It is a clear example of what an NCCR should achieve.
Image Contest Award
-

Scientific Jury Award: Luca Forrer (Unibas)
Image caption: New case of a non-contact AFM cantilever suffering from TorrSeal pocks.
Jury’s Appreciation: Due to the picking, the manmade object gains a natural-looking, almost alien look.
-

People & Places Jury Award: Lisa Sommer (IBM)
Image caption: Working on a cryostat.
Appreciation from the Jury: The image shows good use of subject isolation, even with the very busy foreground.
Poster Flash Award
-
Maria Spethmann (University of Basel)

Awards 2021
Poster Flash Award
-
Roy Haller (University of Basel)
